[登录] [免费注册]
试剂仪器网
位置:首页 > 产品库 > β-Amanitin
立即咨询
咨询类型:
     
*姓名:
*电话:
*单位:
Email:
*留言内容:
请详细说明您的需求。
*验证码:
 
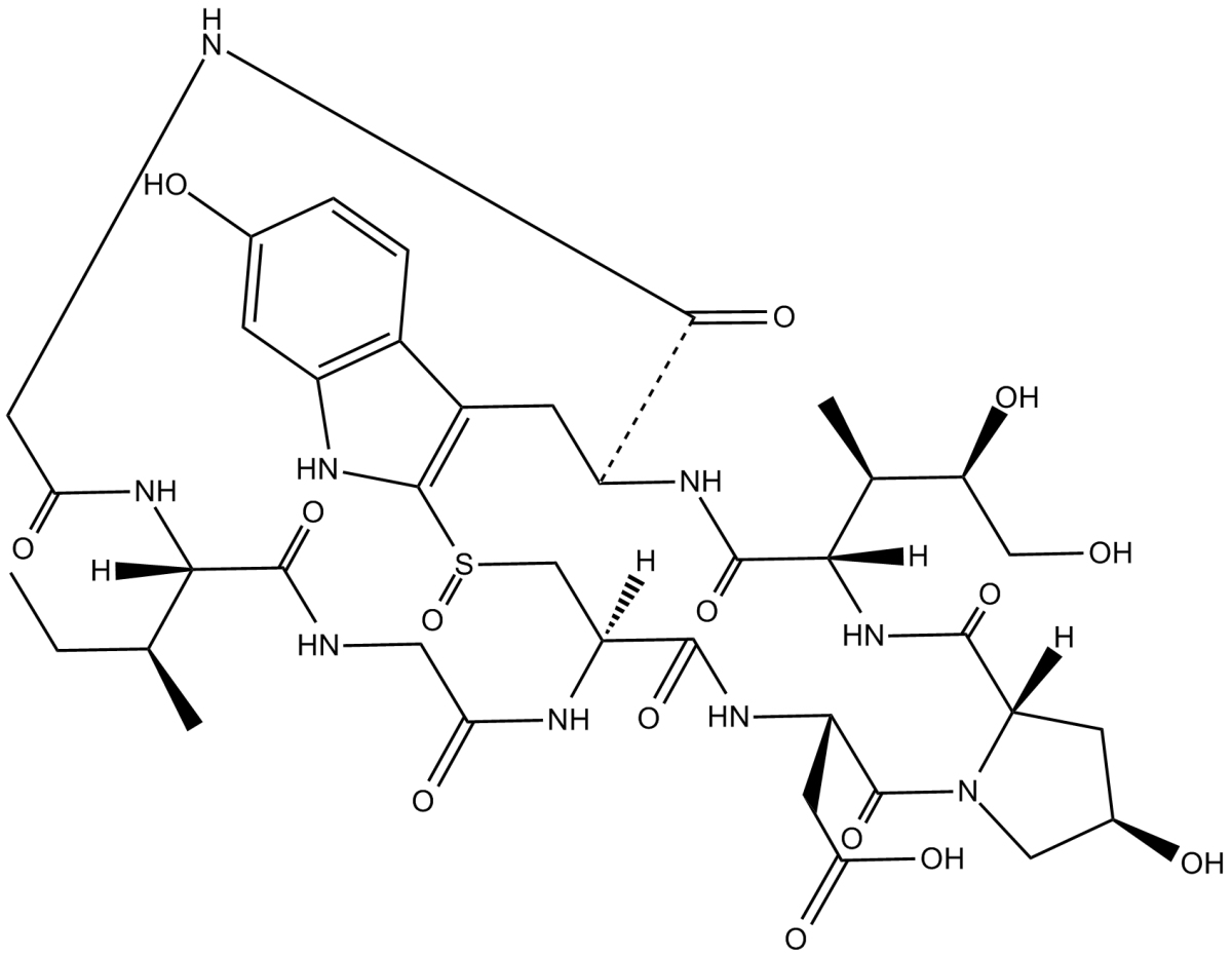
β-Amanitin
本产品不向个人销售,仅用作科学研究,不用于任何人体实验及非科研性质的动物实验。
β-Amanitin图片
CAS NO:21150-22-1
包装:1mg
市场价:2510元

产品介绍

化学性质

StorageStore at -20°C
M.Wt919.95
Cas No.21150-22-1
FormulaC39H53N9O15S
SolubilitySoluble in Ethanol
Canonical SMILESO=C(N[C@@](C(N[C@@H](CC(O)=O)C(N(C[C@H](O)C1)[C@]1([H])C(N[C@]([C@@H](C)[C@@H](O)CO)([H])C(N[C@H]2CC3=C4NC5=C3C=CC(O)=C5)=O)=O)=O)=O)([H])CS4=O)CNC([C@@]([C@@H](C)CC)([H])NC(CNC2=O)=O)=O
运输条件蓝冰运输或根据您的需求运输。
一般建议为了使其更好的溶解,请用37℃加热试管并在超声波水浴中震动片刻。不同厂家不同批次产品溶解度各有差异,仅做参考。若实验所需浓度过大至产品溶解极限,请添加助溶剂助溶或自行调整浓度。溶液形式一般不宜长期储存,请尽快用完。