首页
产品中心
供应商
品牌中心
位置:
产品中心
N-[(9H-芴-9-基甲氧基)羰基]-1-甲基-L-色氨酸-d3
N-[(9H-Fluoren-9-ylmethoxy)carbonyl]-1-methyl-L-tryptophan-d3
货号:
J60F472527
品牌:
TRC
分子式:
C??H??D?N?O
分子量:
443.51
包装
价格
100mg
14630元
留言咨询
推荐产品
荧光素胺马来酸单酰胺
关注(
0
)
盐酸荧光胺异构体1
关注(
0
)
5-氨基荧光素
关注(
0
)
6-氨基荧光素
关注(
0
)
荧光素-尸胺二盐酸盐
关注(
0
)
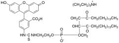
荧光素-二棕榈酰磷脂酰乙醇胺
关注(
0
)
试仪产品网
|
产品信息网
|
试剂仪器网
|
化工字典
Copyright©2004-2026 chemdbs.com Corporation,All Rights Reserved
×
*
留言类型
采购咨询
售后咨询
*
留言内容
*
联系人
*
手机号
*
单位名称
电子邮箱
*
验证码