首页
产品中心
供应商
品牌中心
位置:
产品中心
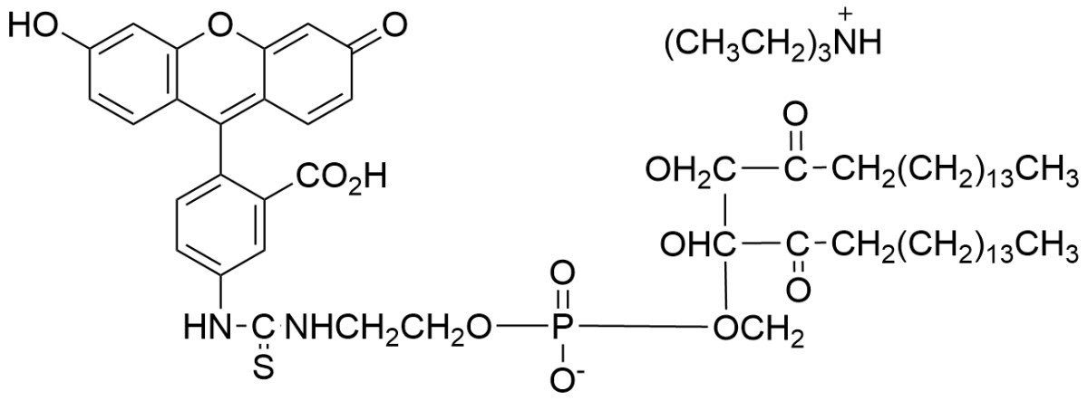
荧光素-二棕榈酰磷脂酰乙醇胺
Fluorescein-Dipalmitoylphosphatidylethanolamine
货号:
J60F485500
品牌:
TRC
CAS NO:
87706-98-7
分子式:
C??H??N?O??PS
分子量:
1081.34
包装
价格
25mg
9636元
留言咨询
仅供研发或工业应用,不可直接用于食品、药品、临床诊断或治疗。
推荐产品
荧光素-6-异硫氰酸酯
关注(
0
)
荧光素 5(6)-异硫氰酸酯
关注(
0
)
异硫氰酸荧光素酯;荧光素-5-异氰酸酯
关注(
0
)
6-异硫氰酸荧光素
关注(
0
)
异硫氰酸荧光素酯;荧光素-5-异氰酸酯
关注(
0
)
6-氟-5-吲唑羧酸甲酯
关注(
0
)
试仪产品网
|
产品信息网
|
试剂仪器网
|
化工字典
Copyright©2004-2026 chemdbs.com Corporation,All Rights Reserved
×
*
留言类型
采购咨询
售后咨询
*
留言内容
*
联系人
*
手机号
*
单位名称
电子邮箱
*
验证码