首页
产品中心
供应商
品牌中心
位置:
产品中心
>
有机化学
>
分子砌块
>
杂环
>
吖啶
9-氧代-10(9H)-吖啶乙酸,98%
9-Oxo-10(9H)-acridineacetic acid, 98%
货号:
A01623849
品牌:
J&K
纯度:
98%
CAS NO:
38609-97-1
分子式:
C15H11NO3
分子量:
253.26
包装
价格
5G
108元
留言咨询
25G
389元
留言咨询
100G
1371元
留言咨询
仅供研发或工业应用,不可直接用于食品、药品、临床诊断或治疗。
产品别名
9-氧代吖啶-10-乙酸, 10-(羧甲基)-9 (10H) 吖啶酮, (9,10-二氢-9-氧代-10-吖啶基)乙酸
9-Oxoacridine-10-acetic acid, 10-(Carboxymethyl)-9(10H)acridone, (9,10-Dihydro-9-oxo-10-acridinyl)acetic acid
基本信息
分子式:
C15H11NO3
分子量:
253.26
熔点:
289@760mmHg
MDL编码:
MFCD00157050
Reaxys-RN (Beilstein):
N/A 227508
应用分类
有机化学
>
分子砌块
>
杂环
>
吖啶
生命科学
>
药理学
>
药物成分
>
其他药物成分
推荐产品
5(6)-羧基-2' 7'-二氯荧光素
关注(
0
)
6'-α-唾液酸-N-乙酰基乳糖胺
关注(
0
)
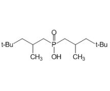
双(2,4,4-三甲基戊基)膦酸
关注(
0
)
L-谷氨酸钾盐单水合物
关注(
0
)
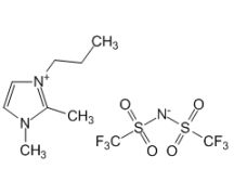
2,3-二甲基-1-丙基咪唑鎓双(三氟甲磺酰基)酰亚胺
关注(
0
)
4-甲氧基苯甲脒
关注(
0
)
试仪产品网
|
产品信息网
|
试剂仪器网
|
化工字典
Copyright©2004-2026 chemdbs.com Corporation,All Rights Reserved
×
*
留言类型
采购咨询
售后咨询
*
留言内容
*
联系人
*
手机号
*
单位名称
电子邮箱
*
验证码