位置:产品中心 > 有机化学 > 催化剂和配体 > 金属催化剂 > 钌催化剂
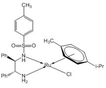
氯{[(1S,2S)-(+)-2 - 氨基-1,2 - 二苯基乙基](4 - 甲基苯磺酰)氨基}(均三甲苯)钌(II)图片
氯{[(1S,2S)-(+)-2 - 氨基-1,2 - 二苯基乙基](4 - 甲基苯磺酰)氨基}(均三甲苯)钌(II),min. 90%
Chloro{[(1S,2S)-(+)-2-amino-1,2-diphenylethyl](4-toluenesulfonyl)amido}(mesitylene)ruthenium(II), min. 90% RuCl[(S,S)-Tsdpen](mesitylene)
货号:J3444-0155
品牌:Strem
纯度:min. 90%
CAS NO:174813-81-1
分子式:C??H??ClN?O?RuS
分子量:622.18
包装价格
250mg894元留言咨询
1g2666元留言咨询
5g9585元留言咨询
仅供研发或工业应用,不可直接用于食品、药品、临床诊断或治疗。
产品介绍

TechnicalNote:

1. Catalyst used in the asymmetric transfer hydrogenation of ketones using formic acid -triethylamine mixture.

Reference:

1. J .Am. Chem. Soc., 1996, 1 18, 2521.

应用分类
有机化学 > 催化剂和配体 > 金属催化剂 > 钌催化剂
有机化学 > 催化剂和配体 > 催化剂和配体(按类型) > 均相催化
推荐产品
氯{[(1S,2S)-(+)-2 - 氨基- 1,2 -二苯基乙基](五氟苯磺酰)氨基}(对伞花烃)钌(II)
关注(0)
((S )-(-)- 2,2'-双[二(3,5 -二甲苯基)膦] -1,1'-联萘)钌(Ⅱ)
关注(0)
氯(五甲基环戊二烯)钌(Ⅱ)
关注(0)
氯{[(1R,2R)-(-)-2-氨-1,2-二苯乙基](4-甲苯磺酰)氨}(p-异丙基甲苯)钌(II) )钌(II)
关注(0)
二乙酸根[(R)-5,5′-二(二苯基膦基)-4,4′-联-1,3-苯并二噁唑]钌(II)
关注(0)
[(R)-(+)- 2,2'-双(二苯基膦)-1,1'-联萘]钌(Ⅱ)铷
关注(0)
试仪产品网 | 产品信息网 | 试剂仪器网 | 化工字典
Copyright©2004-2026 chemdbs.com Corporation,All Rights Reserved
×

*留言类型

*留言内容

*联系人

*手机号

*单位名称

电子邮箱

*验证码