首页
产品中心
供应商
品牌中心
位置:
产品中心
>
生命科学
>
疫苗
>
疫苗用其他原辅料
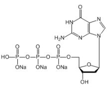
2'-脱氧胞苷5'-三磷酸二钠盐,99.5%,100 mM solution, 高纯
2'-Deoxycytidine 5'-triphosphate disodium salt, 99.5%, 100 mM solution, high-purity
货号:
A01947264
品牌:
J&K
纯度:
99.5%
CAS NO:
102783-51-7
分子式:
C9H14N3Na2O13P3
分子量:
511.12
包装
价格
10ML
500元
留言咨询
仅供研发或工业应用,不可直接用于食品、药品、临床诊断或治疗。
基本信息
分子式:
C9H14N3Na2O13P3
分子量:
511.12
MDL编码:
MFCD00084683
安全信息
存储条件:
Freezer -20℃
应用分类
生命科学
>
疫苗
>
疫苗用其他原辅料
生命科学
>
分子生物学
>
分子生物学通用试剂
推荐产品
2'-脱氧鸟苷5'-三磷酸三钠盐
关注(
0
)
2'-脱氧胸苷5'-三磷酸二钠盐
关注(
0
)
2'-脱氧尿苷5'-三磷酸钠盐
关注(
0
)
乙基香兰素葡萄糖苷
关注(
0
)
2,3,4,6-四-O-乙酰基-D-葡萄糖烯
关注(
0
)
2,3,4,6-四-O-乙酰基-D-吡喃葡萄糖基三氯乙酰亚胺酯
关注(
0
)
试仪产品网
|
产品信息网
|
试剂仪器网
|
化工字典
Copyright©2004-2026 chemdbs.com Corporation,All Rights Reserved
×
*
留言类型
采购咨询
售后咨询
*
留言内容
*
联系人
*
手机号
*
单位名称
电子邮箱
*
验证码