首页
产品中心
供应商
品牌中心
位置:
产品中心
>
生命科学
>
蛋白质组学
>
重组蛋白表达和纯化
>
蛋白质修饰
甲氧基-PEG-胺盐酸盐,95%,数均分子量: 10,000 Da
mPEG-NH2 · HCl salt, 95%, average Mn: 10,000 Da
货号:
A01950269
品牌:
J&K
纯度:
95%
CAS NO:
80506-64-5
包装
价格
1G
1200元
留言咨询
5G
4200元
留言咨询
仅供研发或工业应用,不可直接用于食品、药品、临床诊断或治疗。
基本信息
闪点:
>110@760mmHg(C.C)
MDL编码:
MFCD00131599
安全信息
存储条件:
Freezer -20℃
应用分类
生命科学
>
蛋白质组学
>
重组蛋白表达和纯化
>
蛋白质修饰
材料科学
>
高分子化学
>
聚合物
>
聚乙二醇
>
单官能团PEG
推荐产品
甲氧基-PEG-胺
关注(
0
)
葫芦巴碱盐酸盐
关注(
0
)
Z-O-苄基-L-酪氨酸
关注(
0
)
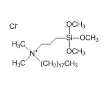
二甲基十八烷基[3-(三甲氧基硅基)丙基]氯化铵
关注(
0
)
高哌嗪
关注(
0
)
甲氧基-PEG-N-二硬脂酰磷脂酰乙酰胺
关注(
0
)
试仪产品网
|
产品信息网
|
试剂仪器网
|
化工字典
Copyright©2004-2026 chemdbs.com Corporation,All Rights Reserved
×
*
留言类型
采购咨询
售后咨询
*
留言内容
*
联系人
*
手机号
*
单位名称
电子邮箱
*
验证码