首页
产品中心
供应商
品牌中心
位置:
产品中心
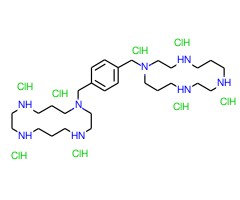
AMD-3100八盐酸盐,98.0%(LC)
AMD-3100 Octahydrochloride
货号:
J07P2620
品牌:
TCI
纯度:
98.0%(LC)
CAS NO:
155148-31-5
分子式:
C28H54N8.8HCl
分子量:
794.46 g/mol
包装
价格
25MG
260元
留言咨询
100MG
960元
留言咨询
仅供研发或工业应用,不可直接用于食品、药品、临床诊断或治疗。
安全信息
存储条件:
Freezer -20℃
推荐产品
MTT溶液 [用于细胞增殖检测] (1mL×5)
关注(
0
)
富勒烯C60 (升华提纯) [用于有机电子]
关注(
0
)
2,7-二甲氧基-9H-硫杂蒽-9-酮
关注(
0
)
1,3-二异丙基苯并咪唑鎓溴化物
关注(
0
)
二均三甲苯基(三氟甲基)锍三氟甲磺酸盐
关注(
0
)
茶黄素
关注(
0
)
试仪产品网
|
产品信息网
|
试剂仪器网
|
化工字典
Copyright©2004-2026 chemdbs.com Corporation,All Rights Reserved
×
*
留言类型
采购咨询
售后咨询
*
留言内容
*
联系人
*
手机号
*
单位名称
电子邮箱
*
验证码